1. 교류모터란 무엇인가
교류모터(AC Motor)는 교류전류(Alternating Current) 의 흐름에 따라 스스로 회전하는 전자기 유도형 전동기입니다.
그중에서도 가장 널리 쓰이는 것이 유도전동기(Induction Motor) 입니다.
유도전동기는 별도의 전기적 연결 없이, 자기 유도현상(Electromagnetic Induction) 으로
회전자 내부에 전류를 생성하여 회전하는 방식의 모터입니다.
즉, 회전자의 전류는 외부에서 직접 공급되지 않고 고정자의 교류자속이 회전하면서 유도되어 흐르는 구조입니다.
이 단순하지만 정교한 원리 덕분에 유도전동기는 산업현장, 송풍기, 펌프, 공장 자동화 설비 등 거의 모든 분야에 사용됩니다.
2. 교류모터의 기본 구성
교류모터는 구조적으로 고정자(Stator) 와 회전자(Rotor), 그리고 축(Shaft) 으로 구성됩니다.
모든 구성요소는 원통형 하우징 안에 조립되어 있으며, 열 방출과 진동 억제를 위해 정밀한 기계적 설계가 적용됩니다.

| 구성 요소 | 역할 | 설명 |
| 고정자 (Stator) | 회전자에 전자기 유도 제공 | 교류전류를 받아 회전 자계를 형성함. 모터의 몸체 역할. |
| 회전자 (Rotor) | 회전 운동부 | 고정자의 회전 자계에 의해 전류가 유도되어 토크를 발생시킴. |
| 축 (Shaft) | 기계적 동력 전달 | 발생한 회전력을 외부 부하로 전달함. |
| 프레임 (Frame) | 보호 및 방열 | 모터의 외부 덮개 역할, 냉각용 통풍구 포함. |
| 베어링 (Bearing) | 회전 지지 | 축의 회전을 부드럽게 유지, 마찰 최소화. |
| 단자함 (Terminal Box) | 전원 연결부 | 교류전원 및 보호회로 연결용 단자 설치. |
3. 고정자(Stator)의 구조
고정자는 교류모터의 자기장 생성부입니다.
정지한 상태로 외부 교류전류를 공급받아 회전 자계(Rotating Magnetic Field) 를 만들어냅니다.
고정자는 세 부분으로 이루어집니다.
| 부분 | 설명 |
| 고정자 철심 (Stator Core) | 규소강판(Silicon Steel Sheet)을 적층하여 제작. 자속 손실 최소화. |
| 고정자 권선 (Stator Winding) | 3상 교류 전류를 흘려 회전 자계 형성. |
| 고정자 요크 (Yoke) | 자속의 경로 형성 및 기계적 지지 역할. |
3상 교류 전류가 120° 위상차로 흐르면,
고정자 내부에서는 자기장이 시간에 따라 회전하는 형태로 생성됩니다.
이것이 바로 회전 자계(Rotating Magnetic Field) 입니다.
4. 회전 자계의 형성 원리
고정자에 3상 교류 전류를 인가하면 각 상의 전류가 만들어내는 자속이 시간적으로 변화하며
공간상에서 서로 120° 위상차를 갖게 됩니다.
이 세 자속이 결합하면 결과적으로 균일한 크기의 회전 자계가 형성되어
N극과 S극이 원주 방향으로 연속적으로 회전합니다.
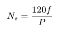
회전 자계의 회전속도는 다음 식으로 표현됩니다.

- Nₛ: (Synchronous Speed, rpm)
- f: 교류 주파수 (Hz)
- P: 극수(Number of Poles)
예를 들어, 4극 모터에서 주파수가 60Hz일 경우 Ns=120×60/4=1800 rpm
고정자의 자속이 초당 30회(분당 1800회) 회전하게 됩니다.
5. 회전자(Rotor)의 구조
회전자는 유도전동기의 회전력 발생부로, 고정자 자계에 의해 유도전류가 생성되는 부분입니다.
구조에 따라 농형(Squirrel Cage) 과 권선형(Wound Rotor) 두 가지로 구분됩니다.
(1) 농형 유도전동기 (Squirrel-Cage Rotor)
가장 일반적인 회전자 구조입니다.
- 알루미늄 또는 구리 도체봉이 회전자 철심의 슬롯에 삽입되어 있고,
양 끝은 단락링(End Ring) 으로 연결되어 마치 다람쥐 쳇바퀴 모양의 폐회로를 형성합니다. - 고정자의 회전 자계가 도체봉을 통과하면서 유도기전력을 발생시키고,
이에 따라 회전자 내부에 전류가 흐르며 로렌츠 힘에 의해 회전토크가 생깁니다.

특징
- 구조 단순, 견고, 유지보수 거의 불필요
- 효율 높고 가격 저렴
- 속도 제어 어려움 (인버터 제어로 보완 가능)
- 하수처리시설, 송풍기, 펌프 등 일반 산업용 표준
(2) 권선형 유도전동기 (Wound Rotor)
회전자 슬롯에 실제 3상 권선을 감고,
슬립링(Slip Ring)을 통해 외부 회로와 연결한 구조입니다.

특징
- 외부저항을 추가하여 기동토크 향상 및 속도제어 가능
- 구조 복잡, 유지보수 필요
- 과거 대형 크레인, 리프팅장비 등에서 많이 사용
최근에는 인버터가 발전하면서 권선형 대신
인버터 제어형 농형 모터(VFD Control Induction Motor) 가 대체되고 있습니다.
6. 유도전동기의 작동 원리
고정자의 회전 자계가 회전자 도체를 가로지르면 패러데이의 전자기 유도 법칙에 따라 회전자 내에 기전력이 발생합니다.
이 유도기전력에 의해 회전자 회로에 전류가 흐르고,
그 전류는 고정자 자속과 상호작용하여 회전토크(Torque) 를 발생시킵니다.
이때 회전자는 고정자의 회전 자계 속도를 완전히 따라잡지 못합니다.
만약 따라잡는다면 유도기전력이 사라지기 때문입니다.
따라서 실제 회전속도(N)는 동기속도(Nₛ)보다 약간 낮으며 그 차이를 슬립(Slip, s) 이라 부릅니다.

- 일반적으로 s = 2~5% (정상 운전 시)
7. 슬립(Slip)의 의미
슬립은 유도전동기 작동의 본질입니다.
슬립이 0이면 유도기전력이 발생하지 않아 토크가 생성되지 않고,
슬립이 너무 크면 손실이 커지고 효율이 저하됩니다.
적정 슬립(2~5%) 은 회전력 유지와 효율의 균형점입니다.
8. 유도전동기의 토크 발생 과정
- 고정자에 3상 교류 공급 → 회전 자계 형성
- 회전 자계가 회전자 도체를 절단 → 유도기전력 발생
- 회전자 도체에 전류 흐름 → 고정자 자속과 상호작용
- 로렌츠 힘 작용 → 회전토크 생성
- 회전자가 회전 자계를 추종하며 회전 (N < Ns)
결과적으로, 회전자는 자기 유도에 의해 스스로 회전하는 구조가 됩니다.
9. 유도전동기의 구조적 특징 요약
| 구분 | 농형 유도전동기 | 권선형 유도전동기 |
| 회전자 구조 | 구리 또는 알루미늄 도체봉 단락 | 권선 + 슬립링 구성 |
| 속도 제어 | 불가 (인버터로 가능) | 외부저항으로 가능 |
| 기동 토크 | 보통 | 매우 큼 |
| 유지보수 | 거의 없음 | 정기적 점검 필요 |
| 응용 분야 | 송풍기, 펌프, 압축기 | 크레인, 권선기, 대형 하중기계 |
10. 냉각 구조와 보호
유도전동기는 운전 중 열이 많이 발생하므로 냉각팬(Fan) 과 통풍구가 필수입니다.
프레임 외부에는 냉각날개와 팬커버가 있으며, IP(보호등급)에 따라 방진·방수 수준이 다릅니다.
- TEFC(Type Enclosed Fan Cooled): 완전 밀폐형, 외부 팬 냉각
- ODP(Open Drip Proof): 개방형, 공기순환식
- IP55 이상: 분진·수분 보호 강화형
11. 교류모터의 효율적 운전과 인버터(VFD)
기존 유도전동기는 정속(60Hz) 운전만 가능했으나 인버터(VFD, Variable Frequency Drive) 기술이 발전하면서
주파수와 전압을 조절하여 속도제어가 가능해졌습니다.
인버터는 주파수를 조절하여 고정자의 회전 자계 속도를 제어하므로,
다양한 속도 범위에서 에너지 절감·소음 저감·부하 최적화 운전이 가능합니다.
12. 하수처리시설에서의 교류모터 응용
| 설비적용 | 모터제어 | 특징 |
| 송풍기 (Blower) | 인버터 제어형 농형 유도전동기 | 풍량 PID 제어, 에너지 절감 20~30% |
| 슬러지 이송기 | 고토크 저속형 유도전동기 | 일정속 운전, 부하 변동에 강함 |
| 펌프 | 인버터 제어형 3상 모터 | 유량 제어 및 수두 안정화 |
| 스크린 장치 | 소형 단상 유도전동기 | 간헐적 운전, 유지보수 간편 |
13. 스스로 회전하는 전류의 예술
교류 유도전동기는 별도의 전기자 공급 없이 전자기 유도만으로 회전하는 자기완결적 시스템입니다.
직류모터가 전류를 “흘려서” 회전시키는 기계라면 유도전동기는 전류를 “유도하여” 회전시키는 기계입니다.
그 단순함과 견고함 덕분에 유도전동기는 지금도 산업용 모터의 80% 이상을 차지하고 있으며
하수처리장, 공장, 발전소, 빌딩, 교통 시스템까지 모든 곳에서 산업의 심장으로 뛰고 있습니다.
